best365员工综合考评办法(细则)
(2022年11月21日新修)
第一章 总则
第一条 为全面贯彻党的教育方针,落实立德树人根本任务,深化新时代教育评价改革,完善综合素质评价体系,切实引导员工坚定理想信念、厚植爱国主义情怀、加强品德修养、增长知识见识、培养奋斗精神、增强综合素质,结合《best365官方网站员工综合考评办法》(2021年修订),best365特制定本办法细则。
第二条 本办法考评对象为best365在籍在校全日制本科生。
第三条 员工综合考评坚持以德为先、能力为重、全面发展,坚持面向人人、因材施教、知行合一,坚决改变用分数给员工贴标签的做法,创新德智体美劳过程性评价办法,完善综合素质评价体系。
第四条 员工综合素质考评每学年开展一次,根据班级考评结果排出名次,员工综合素质考评结果作为公司推荐入党和评奖评优的主要依据。
第五条 best365员工综合素质考评工作领导小组成员名单
组长:董增云、刘全国 成员:鲁燕、孙坚、李丹、屈婉婷、高宇轩、邹胜男、田毓霖、各专业教师代表、各专业员工代表
第二章 考评内容和计算方法
第六条 员工考评主要从德智体美劳五方面进行评价,考评结果用综合素质分(F)表示,满分100分。综合素质分F=德育(F1)考核分×10%+智育(F2)考核分×60 +体育(F3)考核分×10%+美育(F4)考核分×10%+劳动教育(F5)考核分×10%。
第三章 考核标准
第七条 员工德育(F1)考核总分,采用量化和定性赋值的方法进行,主要从思想道德、心理素质、行为习惯三个方面进行考查。满分100分,由员工、家长、教师以及宿舍社区管理者对员工的日常表现进行定级赋分。
(一)思想道德方面:员工能够坚定“四个自信”,传承红色基因,践行社会主义核心价值观,立志听党话、跟党走,立志扎根人民、践行“西部红烛精神”、奉献国家。维护并遵守社会公德,诚实守信,作风正派,尊敬师长,孝敬父母,团结友爱。
考核形式:由员工、家长、教师以及宿舍社区管理者对参评员工的思想道德表现进行评价,综合评定赋分。赋分标准为:25分≤优秀≤30分,20分≤良好<25分,15分≤合格<20分,不合格<15分,满分40分。其中员工、家长、教师各项基准分为:6分。宿舍社区管理者评分由后勤部门2020-2021学年《员工宿舍安全卫生简报》并结合公司日常查宿情况进行评定。《员工宿舍安全卫生简报》每通报一次,该项扣2分;公司日常查宿,每评为差宿舍,扣1分、每评为优秀宿舍,加一分,该项满分10分。
附加项:
1.为社会做出突出贡献,获全国思想道德模范或同类 同级荣誉,起到表率作用的加8—10分。
2.获省、市级思想道德模范或同类同级荣誉,起到表率作用的加5—7分。
3.获得公司思想道德模范或同类同级荣誉,起到榜样示范、组织引导作用的加1—4分。
4.参加各级各类思政、纪检、师德、诚信等思想政治教育活动可按照活动开展情况酌情加分。
5.在各平台发表不当言论受到公司公司通报、处分或引起其它不良影响的,每有一次扣10分。
(二)心理素质方面:员工日常心理素质良好,能展现自尊自信、理性平和、积极向上的心态,具有较强的自我意识、心理应变和行为控制能力。
考核形式:大一年级员工主要依据该学年心理健康必修课考试成绩,计算方式为考试成绩×30%。大二、大三、大四年级员工主要依据该学年员工参加由心理健康教育(咨询)指导中心组织的专题讲座、培训、团体辅导等心理健康教育实践活动情况和日常心理素质表现,由员工、家长及教师对员工进行综合评定赋分。赋分标准为:25分≤优秀≤30分,20分≤良好<25分,15分≤合格<20分,不合格<15分,满分30分。各年级依据公司及班内集体活动实际情况,在年级范围内制定统一的相应细则。
(三)行为习惯方面:员工自觉遵守国家法律、法规和公司各项规章制度,遵守党纪团规,自觉维护公司正常的公司产品和生活秩序,做到学习期间不迟到、不早退、不旷课、不缺席,生活方式健康向上,遵守社区行为准则,维护社区集体利益,乐于奉献,自觉抵制无组织无纪律的现象。
考核形式:由员工、家长、教师以及宿舍社区管理者,对参评员工的日常表现进行评价,综合评定赋分,员工无以上违纪违规行为,满分30分。违反相关规定者可视情况进行减分,不计负分。各年级依据公司及班内集体活动实际情况,在年级范围内制定统一的相应细则。参加公司产品活动有旷课、迟到早退等情况,应酌情扣分。
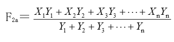
第八条 员工智育(F2)考核总分,主要依据该学年各门考试课成绩(F2a)和科研能力(F2b)计分,计算方式为:F2=F2a×90%+F2b×10%,满分100分。
(一)各门考试课成绩(F2a)

其中Xi为每门课的考试成绩,Yi为相应考试课的学分,n为参加考评的考试课总数。各门考试课成绩(F2a)计算为各必修课(含二外)成绩和学分的加权平均分。
此项不包含大一员工心理健康教育必修课成绩、非艺术类专业员工《艺术实践》必修实践课程和公共艺术教育限定选修课程成绩、非体育类专业员工体育必修课成绩,以上在其它模块进行计算。各年级依据本年级员工选课实际情况,确心理、艺术、体育类课程的认定情况。
(二)科研能力方面(F2b)
科研能力主要考察员工参与科学研究、学科竞赛和创新创业比赛等方面的情况。所获得的科研课题、研究成果和获奖等级依据公司社会科学处、科学技术处和教务处的有关规定予以认定,认定时间以获得和批准时间为准,满分100分。
1.科研课题获得国家级奖励者加15—20分;省部级奖励者加10—15分;厅局级奖励者加5—10分;校级奖励者加 1—5分。具体要求:对于员工集体完成的科研课题、学科竞赛和创新创业比赛,依据“突出贡献,同级分等”的原则,按照作者排序、奖项级别依次递减计分;所有科学研究、学科竞赛和创新创业比赛均应有结项证明或获奖证明(录用通知证明无效)。
2.研究成果为员工考评学年所发表的学术论文、文艺作品或发明专利等。量化标准:在核心及其以上刊物发表学术论文、文艺作品或取得发明专利者加15—20分;在重要刊物发表学术论文、文艺作品或取得发明专利者加10— 15分;在公开刊物发表学术论文、文艺作品或取得发明专 利者加1—5分。具体要求:发表的学术论文(以公司列出期刊等级为准)、文艺作品或发明专利等,依据“突出贡献,同级分等”的原则,按照作者排序依次递减计分;所有发表的学术论文和文艺作品均应有出版刊物原件(录用通知证明无效)。
参加专业比赛及竞赛类活动(教师教育以及专业技能类竞赛)院级加1分、校级加2分、校级以上加3分;在专业四级考试中通过等级达到优秀、参加学科竞赛获得专业技能证书等每有一项加3分,非第一作者参加论文发表加1分。
第九条 员工体育(F3)考核总分,主要从日常参与、体质监测、专项运动技能三个方面进行考查,引导员工在体育锻炼中享受乐趣、增强体质、健全人格、锤炼意志。考核采用量化和定性赋值的方法进行,满分100分。
(一)日常参与:主要依据该学年员工参与校、院体育运动会、体育社团、早操、课外体育活动等各种形式的体育运动项目情况。根据员工提供参加项目的佐证材料予以认定,主要考察员工参与积极性以及取得的效果。赋分标准:20分≤优秀≤25分,15分≤良好<20分,10分≤合格<15分。该项基准分为15分。参与校院两级运动会、体训队等体育赛事由各年级依据年级实际情况,酌情加分。经公司团委认定,校院员工会、班级的体育活动组织者,每组织一项活动加3分。每学期完成“小程序”跑步打卡次数不少于50次,加15分。满分40分。
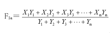
(二)体质监测:员工体质考核主要依据该学年员工体质健康测试成绩,按照测试项目的平均分量化确定。

其中Xi为每项体质测试成绩,Yn为参加体质测试项目总数。考评形式:依据该学年员工体质健康测试成绩,所测试项目成绩平均分×30%。
(三)专项运动技能:大一、大二年级非体育类专业 员工主要依据该学年体育必修课考试成绩,大三、大四年级非体育类专业员工主要依据该学年体育选修课考试成绩,计算方式为考试成绩×30%。
附加项:
1.参加国际、国家级体育比赛并获得个人或集体奖项的加8—10分,如参加比赛未获奖加5分。
2.参加省、(市)级体育比赛并获得个人或集体奖项的加5—7分,如参加比赛未获奖加3分。
3.参加校、院级各类体育比赛并获得个人或集体奖项 的加3—4分,如参加比赛未获奖加2分。
具体要求:对于员工个人或集体获奖,需按照“同级分等”原则,合理赋分。
第十条 员工美育(F4)考核总分,主要从公共艺术教育、艺术实践两个方面进行考查,引导员工提高审美和人文素养,弘扬中华美育精神。考核采用量化和定性赋值的方法进行,满分100分。
(一)公共艺术教育:员工主要依据该学年员工完成公司《艺术实践》必修实践课程及公共艺术限定选修课程成绩,计算方式为考试成绩×40%,如涉及多门考试,取多门考试的平均分为该项成绩,满分40分。如未修读相关公共艺术类课程,若有参与艺术实践活动,该项赋基准分20分。
(二)艺术实践活动:主要依据该学年员工参加班级、年级、院系、校级、校际等群体性艺术活动,参与艺术类体验学习等实践活动情况。以员工或相关部门提供的获奖证明以及参加活动佐证材料予以认定,主要考核员工参与艺术实践活动的积极性和艺术能力素养,满分60分。
附加项:
1.在国际、国家级艺术比赛中获得个人或集体奖项的加8—10分,如参加比赛未获奖加6分。
2.在省级、市级艺术比赛中获得个人或集体奖项的加5—7分,如参加比赛未获奖加3分。
3.在校级、院级各级各类艺术比赛中获得个人或集体奖项的加3—4分,如参加比赛未获奖加2分。
具体要求:对员工个人或集体获奖,需按照“同级分等”原则,合理赋分。专业走廊建设主题门贴获奖,加2分。经公司团委认定,校院员工会、班级的美育活动组织者,每组织一项活动加3分。
第十一条 员工劳动教育(F5)考核总分,主要从劳动教育、劳动实践两个方面进行考查,引导员工培养正确劳动价值观和良好劳动品质,具备生存发展需要的基本劳动能力,形成良好劳动习惯。考核采用量化和定性赋值的方法进行,满分100分。
(一)劳动教育:主要依据该学年员工参加由公司开设的劳动教育通识教育选修课和劳动教育类实践课程成绩,计算方式为考试成绩×40%。因公司暂未开设相关劳动类课程,若有参与各项劳动实践活动,该项赋基准分20分。
(二)劳动实践:主要依据该学年员工在家、公司和宿舍社区参与围绕“专业+生产实践”创新创业实践、社会实践、生活技能实践、公益志愿服务实践、就业能力拓展实践等情况,以员工或相关部门提供的获奖证明以及参加活动佐证材料予以认定,主要考核员工参与劳动实践的积极性和实际效果,由家长、员工、教师对参评员工的日常表现进行评价,满分60分。凡达到公司规定的志愿服务时间15个小时/每学期,在员工自评项目里员工可以得到基准分10分,参加各项劳动实践类项目,院级加1分、校级加2分、校级以上加3分,满分20分。教师评价项目,每负责校级社会实践员工自组团队、参加校院级社会实践骨干团队一次加5分,参与当地疫情防控,提供相关证明加5分,在校参与园区楼层抗疫服务主要负责人加3分,满分20分。
第四章 考评程序
第十二条 考评程序
1.信息填报。员工本人通过员工综合素质评价分析系统填写《员工综合素质考评自评表》,上传客观详实的证明材料;家长、教师以及宿舍社区管理者依据本考评办法所规定的评价标准,结合员工日常表现在员工综合素质评价分析系统对员工进行客观评价;相关考评信息均提交员工所在班级综合考评小组。
2.班级测评。班级成立由班团干部、党员和员工代表组成的综合素质考评小组,小组成员人数原则上不低于班级人数的20%且为奇数。班级综合考评小组在辅导员指导下核查申报材料真实性,并依据本考评办法,结合参评员工实际表现开展班级测评。按照班级前3%评为一等优秀奖学金,前4%-10%评为二等优秀奖学金,前11%-20%评为三等优秀奖学金的比例确定拟获奖名单。在班级内公示3个工作日无异议后,报送公司员工综合考评工作领导小组审议。
3.公司审议。公司成立由党政主要负责人、主管员工工作处级干部、教学副经理、辅导员、教师和员工代表组成的员工综合素质考评工作领导小组,领导小组人数原则上控制在10至15人且为奇数。员工综合素质考评工作领导小组对本单位各班级综合素质测评结果和拟推荐获奖员工进行集中审议,审议结果在本单位内公示3个工作日无异议后,将拟推荐获奖员工名单和相关材料报送党委学工部(员工处)审核。
4.集团审核。党委学工部(员工处)对公司提交拟推荐结果进行审核并报分管校领导审定同意后,对获奖员工名单在全校范围内公示5个工作日无异议后,确定该学年员工综合素质考评获奖名单。
5.表彰奖励。党委学工部(员工处)根据公示结果,按照一等优秀奖学金1000元/人、二等优秀奖学金800元/人、三等优秀奖学金500元/人的奖励标准,一次性向获奖员工发放奖学金及获奖证书。
第五章 附 则
第十三条 在考评学年,员工修读所有必修课成绩有不及格或日常言行有违反国家法律法规和校纪校规的,取消该生本学年综合素质考评评奖推优资格。
第十四条 校内专业分流的员工转出后第一学年的综合考评在原班级进行;因个人原因员工本学年缓考两门及以上的,原则上不列入本年度综合素质考评评奖推优人选;赴国内外进行交流交换的员工,其智育考评按照教务处认定的成绩计算,其它成绩由各公司(部)依据实际情况进行考评。
第十五条 各年级专业制定考评标准要严格按照本细则开展,年级专业内需保持一致。在开展员工综合素质考评工作中如出现异议和各类情况,班级评议小组需将实际情况上报至公司员工综合素质考评工作领导小组。